ESP8266 and MicroPython

Nick Moore
@mnemote

ESP8266

original image: zeptobars.com

original image: zeptobars.com

Originally came to prominence as a WiFi controller for AVR and similar, but ...

AVR
(Arduino)
ESP8266ARM / Broadcom
(RPi 2)
ATMega328PTensilica Xtensa LX106Cortex A53
8 bit32 bit32 bit
1 core1 core4 core
20 MHz80-160 MHz900 MHz
2KB RAM160KB RAM1GB RAM
32KB FlashDIO/QIO FlashMicroSDHC

original image: adafruit.com

original image: adafruit.com

original image: adafruit.com

Programming the ESP8266

The easy way ... NodeMCU

image: seeedstudio.com

esptool

github: themadinventor/esptool

$ git clone https://github.com/themadinventor/esptool
$ cd esptool
$ sudo python setup.py install
$ esptool.py version
$ esptool.py write_flash 0 image.bin

esp-open-sdk — 1

github: pfalcon/esp-open-sdk

esp-open-sdk — 2

$ git clone --recursive https://github.com/pfalcon/esp-open-sdk
$ sudo apt-get install make unrar autoconf automake \
  libtool gcc g++ gperf flex bison texinfo gawk \
  ncurses-dev libexpat-dev python-dev python python-serial \
  sed git unzip bash help2man wget bzip2 libtool-bin
$ cd esp-open-sdk
$ make

HOW ABOUT A NICE CUP OF TEA?

$ xtensa-lx106-elf/bin/xtensa-lx106-elf-gcc --version
xtensa-lx106-elf-gcc (crosstool-NG
      crosstool-ng-1.22.0-55-gecfc19a) 4.8.5
$ export PATH=`realpath xtensa-lx106-elf/bin/`:$PATH

esp-open-sdk — 3

#include <esp8266.h>
#include "httpd.h"
#include "httpdespfs.h"
#include "espfs.h"
#include "webpages-espfs.h"
#include "../vm/virtual.h"
#include "cgiwebsocket.h"

void myWebsocketConnect(Websock *ws) {
    ws->recvCb = myWebsocketRecv;
    ws->closeCb = myWebsocketClose;
}

HttpdBuiltInUrl builtInUrls[]={
    {"/", cgiRedirect, "/index.html"},
    {"/ws", cgiWebsocket, myWebsocketConnect},
    {"*", cgiEspFsHook, NULL},
    {NULL, NULL, NULL}
};

static os_timer_t vmExecTimer;

void user_init(void) {
    espFsInit((void*)(webpages_espfs_start));
    httpdInit(builtInUrls, 80);

    os_timer_disarm(&vmExecTimer);
    os_timer_setfn(&vmExecTimer, myTimerCallback, NULL);
    os_timer_arm(&vmExecTimer, 20, 1);

    gpio_init();
}

Other Languages

... and thanks to a successful Kickstarter campaign and Damien George ...

MicroPython

MicroPython

$ git clone --recursive https://github.com/micropython/micropython.git
$ cd micropython/mpy-cross
$ make
$ cd ../esp8266
$ make axtls
$ make
$ PORT=/dev/ttyUSB0 make deploy

MicroPython REPL

$ cu -l /dev/ttyUSB0 -s 115200
MicroPython v1.8.2-94-g3d19adf on 2016-08-06; ESP module with ESP8266
Type "help()" for more information.
>>> dir()
['uos', '__name__', 'gc', 'bdev', 'vfs']
>>> print("Hello, World!")
Hello, World!
>>>

MicroPython I/O

>>> import machine
>>> import time
>>> pin2 = machine.Pin(2)
>>> pin2.init(machine.Pin.OUT)
>>> while True:
...     pin2.low()
...     time.sleep(0.5)
...     pin2.high()
...     time.sleep(0.5)

MicroPython WiFi

>>> import network
>>> sta_if = network.WLAN(network.STA_IF)
>>> sta_if.active(True)
>>> sta_if.scan()
>>> sta_if.connect("my_ap", "my_password")
    

MicroPython Sockets

>>> import socket
>>> sock = socket.socket(socket.AF_INET)
>>> sock.bind(('0.0.0.0', 80))
>>> sock.listen(5)
>>> sock.accept()
(<socket state=2 timeout=-1 incoming=0 off=0>, ('10.107.1.4', 37464))

Python Files

Micropip

$ (cd unix; make axtls; make)
$ unix/micropython -m upip install \
    -p esp8266/modules micropython-functools

github: micropython/micropython-lib

What doesn't MicroPython have?

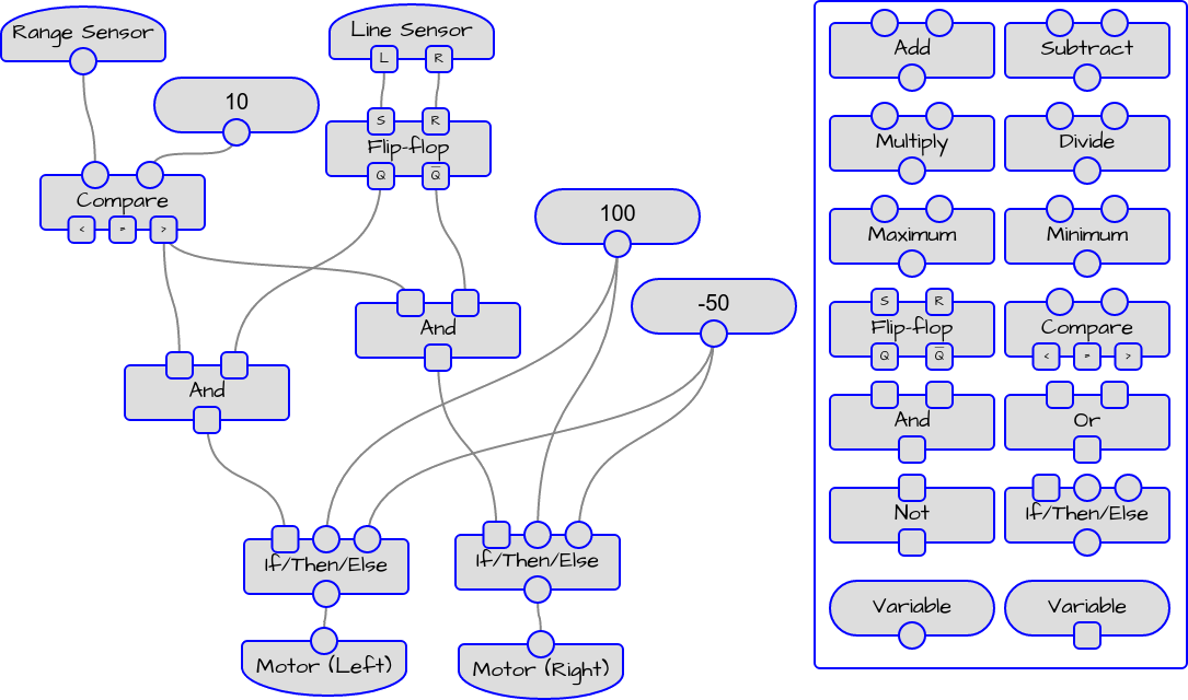
Flobot!

flobot.mnemote.com

Summary

If you're interested in Microcontrollers / IoT / Robotics:

Questions / Comments

Nick Moore
Mnemote Pty Ltd

Slides:

Content and images © Mnemote Pty Ltd except where otherwise noted