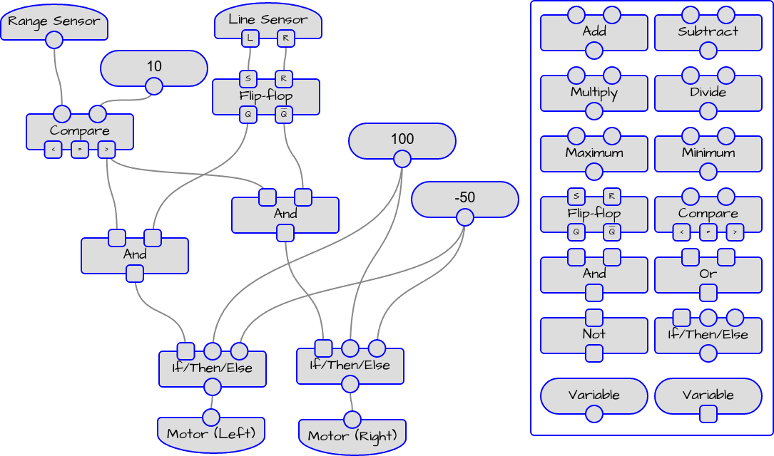
Flobot
A visual dataflow language for educational robots
Nick Moore
@mnemote
PyCon AU 2016
Educational Robotics
Problems:
- Installing toolchain
- Cabling / uploading
- Coding errors
- Debugging poor
Educational Robotics
Solutions:
- Installing toolchain
Web browser based
- Cabling / uploading
WiFi
- Coding errors
No "wrong" programs
- Debugging poor
visual debugging
Now in MicroPython!